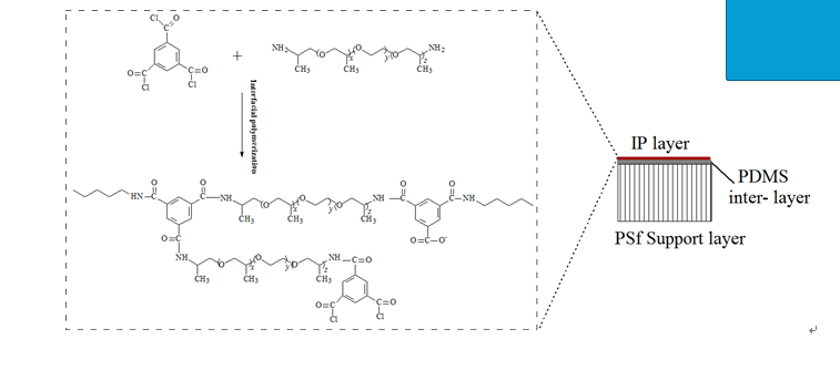
我院副教授伊春海课题组在气体分离膜制备取得重要进展。2014年12月15日该组在读留学生 Salih A. M Alsamani以第一作者身份在国际膜分离领域权威期刊 Journal of Membrane Science(影响因子4.908)上发表题为“Interfacially polymerized polyetheramine thin film composite membranes with PDMS inter-layer for CO2separation”的最新研究成果,该文章的第一单位和通讯单位均为西安交大。本研究首次利用界面聚合技术在涂敷有PDMS过渡层的超滤基膜上制备了水溶性大分子聚醚胺的超薄复合膜。链接://www.sciencedirect.com/science/article/pii/S0376738814006413)
